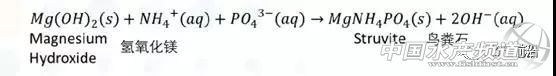
| 中國水產頻道報道, 文/圖 水產前沿 何鴻浩 江蘇省南通市如東縣作為中國南美白對蝦第一縣,是我國南美白對蝦養殖業的發展縮影,也是產業的風向標之一。 據了解,如東縣經過規劃后,現有養蝦小棚5.5萬張左右,未來規模可能仍會有所縮減。部分受影響養殖戶開始向北轉移,在鹽城和連云港繼續從事養蝦業。目前,鹽城的小棚呈興起之勢,但分布比較分散,約有3萬張。 如東小棚 蝦苗檢測逐年重視,養殖大環境更需重視 現階段,如東養殖戶最關心的仍是苗種問題。如東養殖戶十分關注蝦苗檢測環節,江蘇省海洋水產研究所在短短10天內檢測蝦苗樣本600余份,同比往年增長50%以上。這說明養殖戶的檢測意識顯著提升,行業對蝦苗檢測高度重視。 此外,如東養殖水環境仍是養蝦人頭疼的問題。如東水體中的重金屬含量比較高,對白蝦養殖造成較大影響,養殖前中期經常出現“白頭白嘴”的情況。同時,本地養殖戶在池塘中使用氯制劑消毒,導致池塘余氯殘留而且反復爆發。位于如東何丫村的養蝦高手黃曉華與其夫人李聯華在水質處理上則有一套新方案。 黃曉華、李聯華夫婦二人是如東何丫村的養殖大戶,也是如東地區乃至全國范圍內名聲在外的養殖高手。黃曉華夫婦是如東第一批利用小棚養蝦人,勇于創新的精神讓他們走在了行業前沿,養殖也逐步發展壯大。目前,黃曉華夫婦二人共有近1000張6-7分地規格的如東小棚。現在,勇于改變的他們又在小棚養殖上做出了新的嘗試。筆者也就此與黃曉華夫婦進行探討,了解他們在如東小棚養殖上的想法與嘗試。 小棚里剛放的蝦苗 新嘗試,天然礦物質應用于養蝦 “可以解決如東的“白頭白嘴”,大大降低前期的養殖難度。”“增產效果明顯,同等條件下40米小棚比60米小棚產量還高,增產20%以上。”黃曉華夫婦對筆者興奮地談到他們新嘗試的最終結果。 黃曉華夫婦透露,他們嘗試了國外的一款天然礦物質產品AQUQ-Cal+tm(中文商品名“氨必凈”),這款產品能夠提高水體總堿度,降低了對蝦養殖的難度并提高養殖效益。 從左至右:黃曉華、張毅、樊昕宇、李聯華 水產前沿:請您簡單介紹一下您的新嘗試。 黃曉華:我始終認為養蝦很簡單,把控好苗種和水環境,再加上良好的管理就成功了大半。現在,業界對苗種環節的探討非常火熱,但水環境也是十分重要的一環。 水在水產養殖中的重要地位不可動搖,養殖中的很多問題也都是因為水體變化而引起,再加上蝦苗在養殖前期較為脆弱,所以我們要格外關注。如東的池塘水多為礦物質水,金屬含量較高,所以蝦總會出現“白嘴白頭”的毛病。而且,本地使用氯制劑消毒后,池塘容易余氯殘留而且反復爆發。但,不消毒則無法有效抑制水體中的有害生物。 所以,我們一直在尋找適宜的產品或者方法去解決這些難題,直到我們遇到了“氨必凈”這個產品。它對水環境的改良與凈化效果非常明顯,使用后水色漂亮而且水體很穩定。 環保型空氣能加溫設備 水產前沿:請問您與“氨必凈”結緣的契機是什么? 黃曉華:我以前有了解過這類產品,聯系到海友佳音進行了小規模階段性試用,效果十分明顯。今年在第七屆養蝦高手年會現場訂了2噸,然后不斷加訂,到現在已經訂了超過20噸的貨。今年計劃大規模、全流程地使用“氨必凈”。 水產前沿:您是怎么樣使用運用這個產品?請簡單說明您的使用方式。 李聯華:在放苗前,先用生石灰清塘,間隔半個月,用50%的過硫酸氫鉀處理,第二天使用“氨必凈”處理,間隔6天后才開始投苗。隨后在養殖過程中,根據池塘情況定期定量使用“氨必凈”,維持水體穩定。 黃曉華夫婦的標粗車間 水產前沿:使用“氨必凈”后,整個養殖中有什么改變?最明顯的是哪方面? 李聯華:使用后,可以明顯發現小棚中的水體更穩定了,這是因為提高了水體總堿度從而加強了水體的緩沖能力。同時,因為水體穩定和礦物質補充,藻類生長良好,其余動保成本隨之也減少。一造蝦下來,全部動保成本投入約為800-1200元/畝。因為水體環境好,所以產量也更高,增產20%以上。 現在的養蝦與以往相比變化很大,以往的養殖經驗并不一定能匹配現在的養殖模式和養殖環境。所以,我們要與時俱進,轉變傳統養殖觀念,應用科學養殖技術,從而獲取更高的養殖效益。 “氨必凈”,水質改良與池底凈化效果顯著 據海友佳音“氨必凈”產品項目銷售總監張毅介紹,“氨必凈”源自Calix Limited。Calix是一家屢獲殊榮的澳大利亞技術公司,公司致力于開發和創造新工藝和新材料并應用于解決全球性的挑戰。Calix核心技術是在維多利亞州巴克斯馬什建造的世界第一個獲得專利的“窯爐”,生產“蜂窩狀礦物”,它是一種超高活性礦物。 “蜂窩狀氫氧化鎂”顯微結構圖 這種安全環保的礦物可用于廢水處理和磷酸鹽去除,幫助保護下水道免受腐蝕,同時可以應用于水產養殖業的水質改良,使水產養殖遠離抗生素,殺菌劑和殺蟲劑。 “氨必凈”就是運用這種新型礦物質的水質底質改良劑,呈液體泥漿狀。當在小棚中加入“氨必凈”時,會發生“鳥糞石替代反應”生成鳥糞石,反應的同時會釋放出氫氧根離子以中和酸。在此過程中,“氨必凈”會減少水中可溶性磷酸鹽、氨和亞硝酸鹽,抑制硫化氫的形成,同時水體中含量過高的鐵、錳會被氧化并被摻入鳥糞石晶體中被處理掉。 化學反應方程式 總體而言,“氨必凈”水質改良與池底凈化的效果十分強大,通過良好的絮凝作用從水中除去鐵,使水體濁度和毒性顯著降低,這也是如東地區因水體金屬過高導致的“白頭白嘴”能被有效解決的根本原因。 “氨必凈”雖然是引進自國外的動保產品,但現在在國內的效果體現是值得認可的。而且,化學類產品的辨別方法更直接、更簡單,養殖戶可以小規模嘗試,對比效果。 黃曉華夫婦倉庫中的“氨必凈” |

| 重點推薦 |
| |
免責聲明:
1、凡本網注明“來源:水產前沿網”的所有作品,均為水產前沿網合法擁有版權或有權使用的作品,未經本網授權不得轉載、摘編或利用其它方式使用上述作品。已經本網授權使用作品的,應在授權范圍內使用,并注明“來源:水產前沿網”。違反上述聲明者,本網將追究其相關法律責任。
2、凡本網注明“來源:XXX(非水產前沿網)”的作品,均轉載自其它媒體,轉載目的在于傳遞更多信息,并不代表本網贊同其觀點和對其真實性負責。
3、如本網轉載涉及版權等問題,請作者在15天內來電或來函與水產前沿網聯系。聯系方式:020-85595682。
