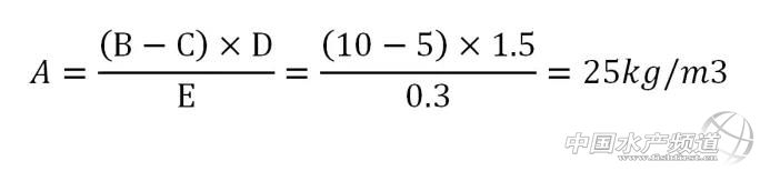
文/圖 寧波天邦股份有限公司飼料事業部 鄧院生 筆者從事水產行業以來有機會接觸到各地的水產養殖模式,但在南至廣東湛江,北到新疆烏魯木齊等地走訪時,筆者發現:在養殖過程中,許多水產從業者都很容易輕視或忽視一些重要的細節:計算合適的放養密度、采用精細的投喂管理模式、果斷處理異常魚等。特別是在冷水魚養殖中,這種忽視尤為明顯!本文將以冷水魚為例,淺談忽視上述細節的危害及解決方法。 西北網箱養殖虹鱒模式 一、最適放養密度有據可循 水產養殖過程中,放養密度的大小對魚的生長有著重要的影響。放養密度大時,會引起池內缺氧,加重魚類自身的抑制作用,影響魚的新陳代謝和對餌料的消化利用,容易造成病害和死亡;放養密度過小,則造成資源浪費,得不到應有的經濟效益,不劃算。 放養密度應根據多方面條件而定,包括魚的規格、耗氧量、水溫、溶氧狀況等。然而,許多養殖戶只能憑借經驗放養,卻并不清楚如何計算放養密度。對此,筆者認為劉濤和張善之編著的《虹鱒養殖》(1994年出版)中有一個計算公式很值得參考,即最大放養密度等于,進水溶氧量減去維持魚正常生長所需的最低溶氧量,再乘以池水交換頻率次數,最后除以單位時間內魚的耗氧量: 西北循環水養殖虹鱒模式 以計算放養規格為50g的虹鱒為例,已知維持虹鱒正常生長所需的最低溶氧量為5 g/m3,虹鱒的耗氧量為0.3 g/kg·h,假如進水溶氧量為10 g/m3,池水交換次數為1.5次/h,那么最大放養密度: 則規格為50g/尾(即0.05kg/尾)的虹鱒的最大放養數量為25÷0.05=500尾/ m3,最適放養量按最大放養量的30%-50%計算,即最適放養量為150-250尾/ m3。 此外,放養密度還要綜合考慮養殖品種的生活習性,比如匙吻鱘魚苗咬尾現象比較嚴重,所以匙吻鱘魚苗的放養密度就要相應地小一些。 西南流水養殖虹鱒模式 二、飼料投喂管理要精細 另一個容易被忽略的細節是飼料的投喂問題。常常能夠看到養殖戶或養殖工人投料比較隨意,只是簡單的把飼料撒進池塘里,并沒有按照“定質、定量、定時、定點”的四定原則來進行。在西南的重慶,由于缺乏科學的投喂參考數據,部分虹鱒養殖戶的飼料系數甚至高達2.32,造成了極大的飼料浪費!針對該現象,天邦股份飼料事業部特別安排技術人員進行駐場指導,結合天邦近20年的實踐養殖數據和經驗總結,運用不同溫度條件下天邦全熟化虹鱒飼料的量化投喂管理模式(詳見表1),成功把飼料系數降至1.11。實踐證明,降低餌料系數需養殖過程中飼料粒徑嚴格同魚的規格相適應,飼料的投喂量也應根據魚的規格及時調整。 表1不同規格虹鱒、不同溫度下的天邦全熟化飼料的日投餌率 虹鱒的量化管理不僅需要掌握其日投喂率參考數據,同時還需要科學合理的投喂模式。天邦股份飼料事業部推薦,廣大養殖戶在虹鱒1.5g以下,盡量保證每日投喂6-8次;當魚苗從1.5g生長到15g期間,日投喂4-5次;15-100g期間,日投喂3-4次;100-500g期間,每日投喂2-3次;500g以上,每日投喂1-2次。此外,在生產投喂過程中還應根據天氣、水溫、換水率等靈活調整投喂量,特別是在水溫低于12℃或高于18℃時要控料。 三、異常魚的處理要果斷 水產養殖過程,很多養殖戶對于體弱、畸形、發病的魚通常都舍不得撈出來處理掉,總覺得自己辛辛苦苦養了這么久的魚,魚又還沒死丟了怪可惜,于是就那么繼續養。 然而,這種處理并不理智!其原因在于: 1、這些異常魚幾乎很難賣出去,沒有養殖價值,并且這些異常的魚在繼續養殖的過程中很容易陸陸續續死掉; 2、將這些異常魚養在水里,會消耗飼料和氧氣,占用空間資源,這在一定程度上都是浪費; 3、這些異常魚往往容易發病,攜帶病原,從而變成了發病的源頭,進而容易傳染其他健康的魚,反而得不償失。 在甘肅和青海,當剛開始出現個別異常病魚時,養殖戶沒有及時處理,結果這些病魚開始發病并且感染其他正常魚,反而造成了更大的損失! 水產養殖講究的是效益,必須要充分節省空間、節約資源,減少病害暴發的可能,所以,對于這些體弱、畸形、發病的魚應該盡早發現盡早處理。 【關鍵字】:冷水魚 養殖 細節 水產養殖 |

| 重點推薦 |
| |
免責聲明:
1、凡本網注明“來源:水產前沿網”的所有作品,均為水產前沿網合法擁有版權或有權使用的作品,未經本網授權不得轉載、摘編或利用其它方式使用上述作品。已經本網授權使用作品的,應在授權范圍內使用,并注明“來源:水產前沿網”。違反上述聲明者,本網將追究其相關法律責任。
2、凡本網注明“來源:XXX(非水產前沿網)”的作品,均轉載自其它媒體,轉載目的在于傳遞更多信息,并不代表本網贊同其觀點和對其真實性負責。
3、如本網轉載涉及版權等問題,請作者在15天內來電或來函與水產前沿網聯系。聯系方式:020-85595682。
