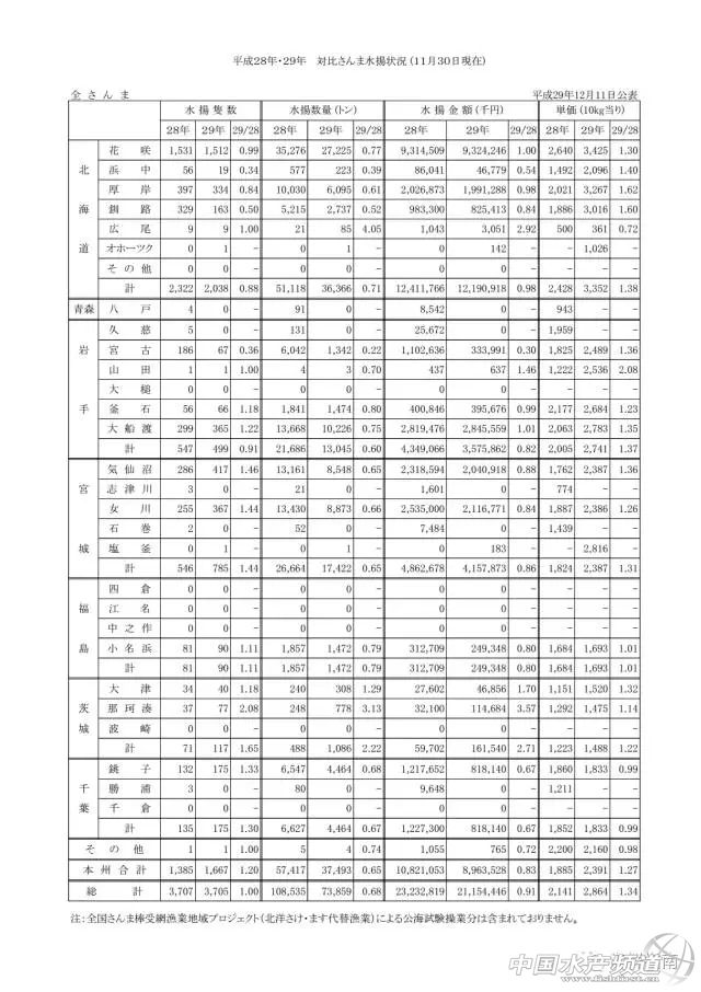
中國水產頻道獨家報道, 截止至2017年11月30日,今年日本秋刀魚捕獲量僅為773859噸,相比去年同期減產約32%,單價則上漲了34%。雖然還有一個月時間,但是今年的秋刀魚總數量連十萬噸都突破不了。 編譯/海鮮指南(seafoof-guide)王詩穎 日本全國秋刀魚舷提網漁業協同組合(以下簡稱日本秋刀魚協會)最新統計顯示,截止至2017年11月30日,今年日本秋刀魚捕獲量僅為773859噸,相比去年同期減產約32%,單價則上漲了34%。雖然還有一個月時間,但是今年的秋刀魚總數量連十萬噸都突破不了。 秋刀魚洄游主要途徑漁港 各地情況與去年對比 日本秋刀魚漁獲量又創新低,多方原因致魚荒 這已經是秋刀魚連續第三年魚荒,對此,秋刀魚協會的專務理事大石浩平表示,一般來說,連續兩年魚荒后,第三年漁獲量會恢復以往水平,現在這種情況說明漁場太遠或者秋刀魚資源真的減少了。 日媒曾于16年底就秋刀魚減產原因做過專題報告,日本秋刀魚專家巢山哲(東北區水產研究所主任研究員)稱,日本秋刀魚魚荒的主要原因是日本近海秋刀魚洄游量減少。 2010年左右,秋刀魚的洄游和分布發生了巨大變化,秋刀魚廣泛分布在北太平洋,原有兩條路線順著千島寒流南下,一條會順著游進日本專屬經濟水域,第二條則游向公海。但是,隨著北海道東側暖水團的擴大,喜好低溫的秋刀魚更傾向于第二條路線。 釧路港今年七月捕撈上的第一批秋刀魚 除此以外,因為秋刀魚是短生命周期的中上層魚類,其資源的波動受環境變化影響非常大,臺風和水溫上升也在一定程度上影響了秋刀魚的最終漁獲量。 還有一種說法是他國亂捕導致秋刀魚資源減少。但在今年五月于上海召開的NPFC第2屆科學分委會年會上,科學分委已達成一致意見,即當前秋刀魚的資源量沒有被過度捕撈,當前的捕撈強度也未到達過度捕撈狀態,總體資源狀況良好。 遭遇魚荒的并不只有秋刀魚 筑地市場魚價從左至右分別是秋刀魚、秋鮭、大眼金槍魚、鰹魚 其實不止金槍魚,鰹魚、秋鮭等等也都因為魚荒導致價格上漲。上圖為十月末的筑地市場魚價,相比去年有顯著增長。十月份在北海道還發生過鮭魚籽被盜事件,原因就是秋鮭減產導致魚籽價格居高不下,高達去年兩倍。 12月7日·札幌市內,盡管價格增高,選購腌鮭魚作為年終賀禮的人依然很多 北海道的秋鮭捕撈已基本結束,截止12月10日,今年的秋鮭捕撈量為平成以來(89年至今)最低,相比去年減產33%,漁獲條數為1572萬,腌鮭魚的價格上漲約一成,為95年以來最高。但是人氣不變,市場上十分鐘內就賣出了200條。 至于到底是什么原因導致魚荒,水溫和資源變動如何影響漁獲量,日本負責進行海洋調查的水產研究·教育機構稱,這些還需要經過嚴密的科學調查,已決定向NOAA尋求調查研究上的幫助。 【關鍵字】:日本 秋刀魚 水產養殖 |

| 重點推薦 |
| |
免責聲明:
1、凡本網注明“來源:水產前沿網”的所有作品,均為水產前沿網合法擁有版權或有權使用的作品,未經本網授權不得轉載、摘編或利用其它方式使用上述作品。已經本網授權使用作品的,應在授權范圍內使用,并注明“來源:水產前沿網”。違反上述聲明者,本網將追究其相關法律責任。
2、凡本網注明“來源:XXX(非水產前沿網)”的作品,均轉載自其它媒體,轉載目的在于傳遞更多信息,并不代表本網贊同其觀點和對其真實性負責。
3、如本網轉載涉及版權等問題,請作者在15天內來電或來函與水產前沿網聯系。聯系方式:020-85595682。
